N° 8 - 24 mars 2026

Dans l’article : Épidémiologie du cancer colorectal en Guyane française de 2003 à 2017 : une analyse descriptive et spatiale à partir des données du Registre des cancers

Imprimer
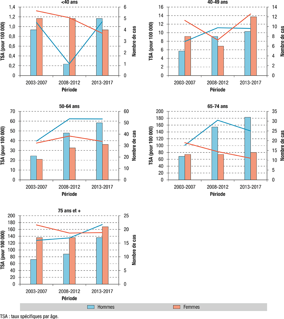
Figure 1 : Analyse temporelle des taux spécifiques d’âge (TSA) et du nombre de cas de cancer colorectal par sexe et périodes quinquennales en Guyane française, 2003-2017