N° 7 - 10 mars 2026

Dans l’article : Recours à la coloscopie après un test de dépistage positif :
analyse des délais et des facteurs associés à la non-réalisation,
en France hexagonale entre 2016 et 2020

Imprimer
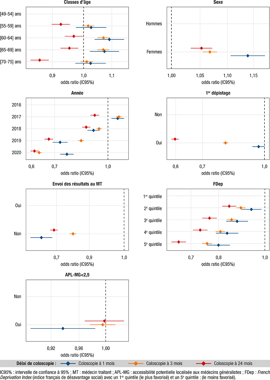
Figure 3 : Diagramme en forêt représentant les odds ratio ajustés de la réalisation
de la coloscopie (1, 3 et 24 mois après les résultats du test de dépistage)