N° 12 - 24 juin 2025

Dans l’article : Le fardeau de l’hypertension artérielle en France en 2021

Imprimer
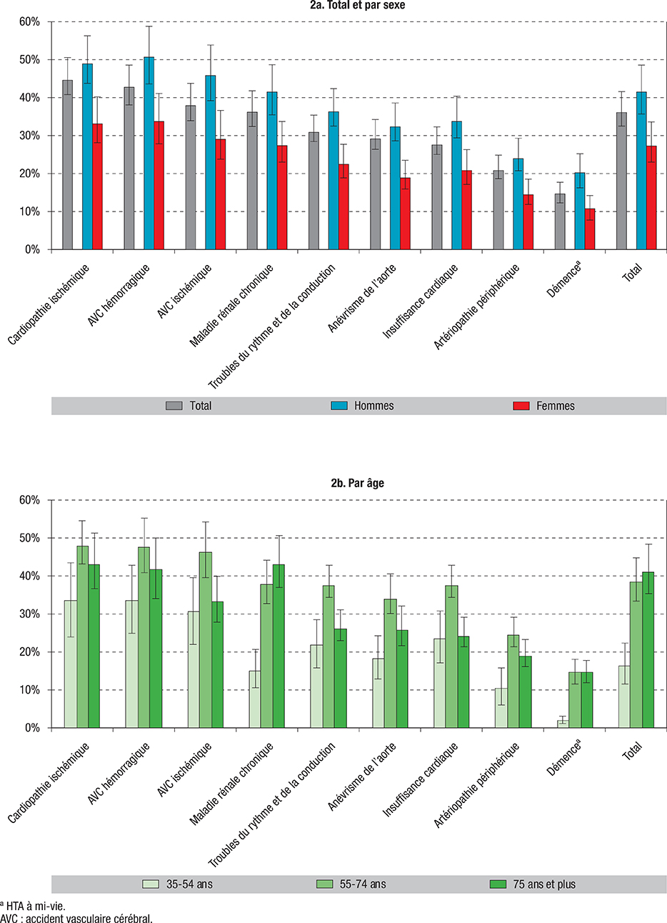
Figure 2 : Fractions des hospitalisations attribuables à l’hypertension artérielle selon la pathologie,
France, 2021